2023. 12. 1. 16:13ㆍ컴퓨터비전
Singular Value Decomposition(SVD)
: 행렬 A를 3개의 행렬곱으로 나타내는 방법

- U, V의 각 column은 unit vector이다.
- ∑ 는 대각행렬이다.
항상 큰 것에서 작은 것으로 정렬한다. (5.39 -> 3.154처럼)
A partial은 어떻게 계산되는가?

예) -3.67 * -0.42 = 1.6 -3.67 * -0.57 = 2.1...
-8.8 * -0.42 = 3.8 -8.8 * -0.57 = 5.0...

원래 행렬곱은 이렇게 하지만 보통 에너지가 큰 값은 앞쪽에 몰려있게 되기 때문에
최종값과 얼마 차이가 나지 않는다.

위의 그림은 principal component 300개 중 앞쪽 10개만 가지고 나타낸 그림이다.
10개만 사용했을 뿐인데 원본과 꽤나 비슷하다.
-> SVD는 이미지 압축방법에 사용되기도 한다.
PCA
: 차원 축소에 쓰이는 기법으로, 고차원의 데이터를 낮은 차원의 데이터로 바꿔줄 수 있다.
covariance
: 고차원에서의 데이터들 간의 분산(variance)
covariance matrix
: covariance 값을 통해 만든 행렬
Eigenface algorithm
: 얼굴인식 알고리즘
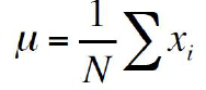
1. training 얼굴 image x1, x2,.. xN개를 준비
2. 평균 얼굴값 계산

3. 얼굴들과 평균 얼굴값 차이 계산

4. covariance matrix 계산

5. covariance matrix의 eignevector 계산
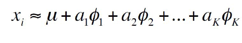
6. 각 training image들의 projection 구하기


7. training face들을 재구성

'컴퓨터비전' 카테고리의 다른 글
| Object Detection 도전 (0) | 2025.02.20 |
|---|---|
| Background Subtraction (9) | 2023.12.01 |
| Object Recognition (1) | 2023.12.01 |
| Segmentation (3) | 2023.11.25 |
| Image Transformation and RANSAC (4) | 2023.11.25 |