2023. 10. 17. 01:04ㆍ인공지능
불확실성의 원인
- 약한 관련성의 지식
: 약한 인과성이나 애매한 연관관계인 지식의 표현
ex) IF Then 사이의 연관성의 강
-> 확신도, 베이즈 정리 사용해서 해결 - 부정확한 언어 사용
: 자연어는 본질적으로 모호하고 부정확
ex) 자주, 크다, 무겁다
-> 퍼지이론 사용해서 해결 - 불완전하거나 결손된 데이터에 기반한 지식
-> 알려지지 않은 것으로 간주하고, 근사적 추론 진행 - 모순된 견해와 상충되는 지식의 통합
-> 지식 소스 별로 가중치 부여
확신도
- 규칙과 사실의 신뢰정도를 [-1,1] 구간의 값으로 표현
- 1 강한 신뢰, -1 강한 불신
- 규칙과 사실에 확신도 cf 부여

규칙에 대한 추론 결과의 확신도 계산법

1) 단일 규칙일 때
-> 결과= 사실 * 규칙
2) and 규칙일 때
-> 결과= min( A,B) * 규칙
3) or 규칙일 때
-> 결과= max(A,B) * 규칙
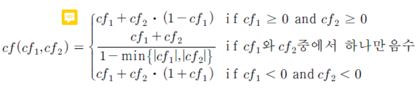
여러 규칙에 의한 동일 사실 추론의 확신도 결합

여러 규칙에 의해 동일한 사실의 확신도가 다를 때
하나의 확신도로 만들기 위해 결합하는 공식
->

확률기반 불확실성 표현
상대빈도 확률: 전체 실험 횟수 대비 관심 사건의 상대적 빈도
주관적 확률: 확신 또는 믿음의 정도
결합 확률(joint probability)
: 사건 A와 B가 동시에 일어날 확률
P(A,B) 또는 P(A ∩ B) 또는 P(AB)로 표현 .
-> P(A) * P(B)로 계산
조건부 확률(conditional probability) = 사후 확
: B가 주어질 때 A가 일어날 확률
P(A|B)로 표현.
-> P(AB) / P(B)로 계산
베이즈 정리
: 조건부 확률을 구하는 공식을 베이즈 정리라고 한다

확률을 이용한 규칙의 불확실성 표현
: 전문가에 의해 각 규칙에 대한 충분 가능도 LS, 필요 가능도 LN값 부여
예) 규칙: A -> B 일 때
충분 가능도(likelihood of sufficiency)

필요 가능도(likelihood of necessity)

* 승률(odss): 일어나지 않은 사건 대비 일어난 사건
사전 승률(prior odds)

사후 승률(posterior odds)

사후 확률

퍼지 이론
일반 집합은 명확한 경계를 긋고,
집합의 원소에는 1, 원소가 아닌 것에는 0으로 이분적으로 표현.
그러나 자연어는 항상 이분적이지 않다.
-> 퍼지 집합 도입
퍼지 집합
- 원소가 집합에 어느 정도 속한다는 것을 [0,1] 범위의 실수값으로 표현

퍼지 규칙
: 언어항을 포함하는 규칙


퍼지 추론
: 퍼지 규칙들의 모음들을 소속함수를 사용하여 수치적인 추론이 가능해진다.

비퍼지화(defuzzification)
: 퍼지 추론의 결과를 실수 값으로 변환하는 것
예) 무게중심 법

'인공지능' 카테고리의 다른 글
| 4. 기계 학습 - 신경망 (0) | 2023.11.10 |
|---|---|
| 4. 기계학습 - 학습 알고리즘 (0) | 2023.11.07 |
| 4. 기계 학습 (2) | 2023.10.16 |
| 3. 지식 표현과 추론- 규칙 기반 시스템 (0) | 2023.10.12 |
| 3. 지식 표현과 추론- 의미망, 스크립트 (0) | 2023.10.12 |