Fundamentals of signal Processing
2023. 10. 14. 22:31ㆍ컴퓨터비전
728x90
LTI system
- 선형적 시간에 관계없는 시스템
(Linear Time Invariant) - an을 넣었을 때 bn이 나왔고, mn을 넣었을 때 nn이 나왔다면
-> an+mn을 넣었을때 bm+nn이 나온다
LTI Continuous Filter의 특징
1. The Principle of Superposition

2.

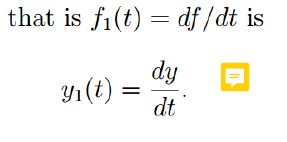
input: f(t)일 때, output: y(t)일때
input: f(t) 미분일 때, output:y(t) 미분이다.
3. 적분일 때도 마찬가지이다.
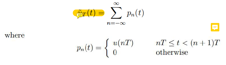
Continuous LTI System Time-Domain Response







input으로 어떤 impulse(T를 0으로 보낼 때 pulse)를 주면 pulse들을
시간에 따라 계속 더해 나가면 output을 알 수 있다.
Fourier Transform
주기함수는 사인함수와 코사인함수를 더하다 보면 표현가능해진다.




728x90
'컴퓨터비전' 카테고리의 다른 글
| Filtering in the Frequency Domain (1) | 2023.10.18 |
|---|---|
| Filtering (1) | 2023.10.18 |
| Color Image (0) | 2023.10.17 |
| Intensity Transform (2) | 2023.10.15 |
| Digital Image Fundamentals (1) | 2023.10.14 |