2023. 10. 15. 16:54ㆍ컴퓨터비전
Spatial domain processing
: 하나의 픽셀값을 결정하기 위해 같은 위치의 픽셀뿐만 아니라
주변의 이웃한 픽셀들까지 이용해서 하나의 픽셀 값을 결정한다.
Intensity Transformation
: spatial domain processing의 하나로 가능한 적은 수의 이웃 픽셀들을
이용해서 값을 결정하는 방법.
이웃이 없이 자기 자신만을 통해 결정이 되면 가장 적은 수.
Image Negative
: intesnsity를 반대로 바꾼 것.
밝은 값은 어두운 값으로, 어두운 값은 밝은 값으로
수식: 255-x

Log Transformations
: log의 성질을 반영하여 변형
-> 값이 작은 구간에서는 변화량이 크고, 값이 큰 구간은 변화량이 줄어드는 성질
-> intensity 값들이 가장 큰 intensity에 비해 너무 작을 경우 log transformation을
사용하면 디테일한 정보를 얻을 수 있다.


Power-law(Gamma) Transformation
:


감마값이 1보다 커지면 255에 가까운 범위에서는 output intensity가
high contrast를 가지게 된다.
즉, 이미지가 어두워지는 결과를 얻는다.
어두운 이미지를 밝게 바꾸려면 감마값을 줄여야 하고
밝은 이미지를 어둡게 바꾸려면 감마값을 늘려야 한다.


Contrast Stretching
: Contrast란 가장 큰 intensity값과 가장 작은 intensity 값의 비율.
이 contrast를 조절하는 함수를 만들어 적용

intensity가 작은 부분과 큰 부분에서는 값의 변화를 적게 주고,
intensity가 중간인 부분은 값의 변화를 크게 주어 디테일을 살린다.

Intensity-Level Slicing
: 특정부분만 밝게 또는 어둡게 강조하기 위해 사용


Histogram of Image
이미지의 픽셀값을 기준으로 histogram을 만든다
x축은 픽셀이 나타내는 픽셀값이고 y축은 해당 픽셀값 몇 개의 픽셀이 가지고
있는지 나타낸다.
histogram을 사용하는 이유?
-> 이미지의 밝기나 contrast와 같이 이미지를 분석하고 조작하는데 유용하기 때문


Histogram Processing
: Histogram을 원하는 결과를 얻을수 있도록 조작하는 과정
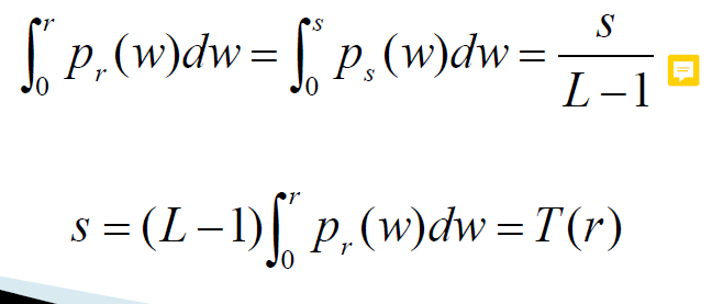
Histogram Equalization
: 밀집되어있는 Histogram을 골고루 분포하도록 만드는 것
-> 밝기와 contrast값을 조절하기 위해 사용


어떻게?
-> input 이미지에 transfer function을 적용해서 바꿔줘야 한다

r은 input의 최대 픽셀값
s는 output의 최대 픽셀값
L은 보통 256
Histogram Matching
: 이미지 histogram을 원하는 모양의 histogram으로 바꾸는 것.
서로 다른 histogram을 가지는 2개의 이미지를 비교할 때 유용하게 사용된다.
혹은 Histogram Equalization으로 이미지를 보정할 수 없을 때 사용된다.



'컴퓨터비전' 카테고리의 다른 글
| Filtering in the Frequency Domain (1) | 2023.10.18 |
|---|---|
| Filtering (1) | 2023.10.18 |
| Color Image (0) | 2023.10.17 |
| Fundamentals of signal Processing (2) | 2023.10.14 |
| Digital Image Fundamentals (1) | 2023.10.14 |